Introduction
< Key Points >
The CPL-300 Circularly Polarized Luminescence Measurement System with 180-degree optical configuration can be used to investigate the aggregation-induced circularly polarized luminescence (AICPL) properties of solid samples.
Compounds with circularly polarized luminescence (CPL) properties have attracted much attention because of their potential applications in 3D display technology using circularly polarized organic light-emitting diodes and in biological imaging and sensing probes. The practical application of CPL materials in these applications requires that the compounds exhibit CPL properties and sufficient luminescence intensity even in an aggregated state. However, conventional fluorescent molecules have been reported to exhibit aggregation-caused quenching (ACQ), in which the luminescence intensity decreases significantly or disappears completely due to the formation of aggregates in the solid state or in poor solvents. In 2001, B.Z. Tang et al. reported the phenomenon of aggregation-induced emission (AIE), in which the luminescence is not observed in the solution state, but in the aggregated state.1) Since then, research on compounds with AIE properties has been actively performed as a countermeasure against ACQ. Consequently, in recent years, research on compounds with aggregation-induced circularly polarized luminescence (AICPL) properties, in which CPL is enhanced in the aggregate state, has been active.
In general, AIE characterization of newly synthesized compounds is performed using a spectrofluorometer with increasing volume ratios of poor solvents to good solvents in a stepwise manner. In this measurement, the luminescence spectra of the sample in the mixed solvents are measured to confirm that the luminescence intensity increases with the formation of aggregates when the poor solvent exceeds a certain percentage. On the other hand, CPL characterization is performed by measuring the CPL spectrum of a sample in the solid state, such as a powder or film, or in an aggregated state, using a CPL measurement system. When performing CPL measurements on solid samples, it is necessary to use a 180-degree optical configuration instead of a 90-degree configuration, which is generally used in spectrofluorometers, to take into account the possibility of fluorescence anisotropy of the sample (Figure 1).

Fig.1 Schematic diagram of 90-degree and 180-degree optical configurations
Based on the evaluation method described above, we report the results of the evaluation of AICPL properties of platinum complexes in the solid state using CPL-300 with 180-degree configuration, in addition to the evaluation of AIE properties using FP-8550 spectrofluorometer.
Experimental
Sample
Complexes R-1 and S-1, in which phenyl groups were introduced to the previously reported chiral platinum complexes with AICPL properties,2) were used as samples (Figure 2).

Fig. 2 Structures of R-1 and S-1
Procedure
1.AIE evaluation
The water fraction (fw) was adjusted to 0, 30, 50, 60, 70, 80, and 90%, and the sample concentration to 1 × 10-4 mol/L by dissolving R-1 in THF, a good solvent, and adding water, a poor solvent. Then, 500 µL of each sample was injected into a 5 mm square cell and the luminescence spectra were measured using FP-8550.
2.AICPL evaluation
Powder samples were prepared by dropping an ethanol suspension of R-1 or S-1 onto a quartz plate and allowing the ethanol to evaporate naturally. CPL spectra of the powder samples were then measured using CPL-300.
Parameters
AIE evaluation
Ex. wavelength: 350 nm
Scanning speed: 100 nm/min
Ex. bandwidth: 5 nm
Em. bandwidth: 5 nm
Response: 0.5 sec
Data interval: 0.1 nm
Sensitivity: Medium
AICPL evaluation
Ex. wavelength: 350 nm
Scanning speed: 100 nm/min
Ex. bandwidth: 100 nm
Em. bandwidth: 100 nm
Response: 4 sec
Data interval: 0.1 nm
Accumulation time: 9
HT voltage: 850 V
System
AIE evaluation
Instrument: FP-8550 Spectrofluorometer
Accessories: FMH-802 5 mm Micro cell jacket
Micro rectangular FL quartz cell, 5 x 5 mm
Software: Spectra measurement program
AICPL evaluation
Instrument: CPL-300 CPL measurement system
Accessory: Solid sample holder*
Software: Spectra measurement program
* This product is a customized order item.

Keywords
AICPL, Aggregation-induced circularly polarized luminescence, AIE, Aggregation-induced emission, CPL, Circularly polarized luminescence, Spectrofluorometer
Results
AIE evaluation
The luminescence spectra of R-1 for different fw and the relationship between fw and luminescence intensity at 625 nm are shown in Figure. 3(A) and Figure. 3(B), respectively. Whereas no luminescence bands were observed in conditions of fw ≤ 50%, clear luminescence bands were observed in conditions of fw ≥ 60% as the sample aggregated. This result indicates that the platinum complexes used in this experiment have AIE properties.

Fig. 3 (A) Luminescence spectra and (B) relationship between fw and luminescence intensity for R-1
AICPL evaluation
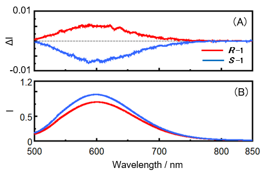
Figure 4 shows CPL and luminescence spectra of R-1 and S-1 in the powder state. The CPL spectra of R-1 and S-1 with mirror-image relationship indicate that these complexes exhibit AICPL characteristics. In addition, there are concerns about the effects of artifacts due to linear dichroism and birefringence in CPL measurements of solid samples. However, since the spectra measured in this case have a mirror-image relationship, it can be concluded that the observed CPL signal originates from the sample.

Fig. 4 (A) CPL and (B) luminescence spectra of R-1 and S-1 in powder state
Conclusion
It is demonstrated that the chiral platinum complexes used in this experiment exhibit AIE and AICPL properties by the use of FP-8550 and CPL-300. Especially, the utilization of CPL-300 with 180-degree optical configuration enables the evaluation of AICPL characteristics in the solid state.
References
1)J. Luo, Z. Xie, J.W.Y. Lam, L. Cheng, H. Chen, C. Qiu, H.S. Kwok, X. Zhan, Y. Liu, D. Zhu, B.Z. Tang: Chemical Communications, 381, 1740–1741 (2001) DOI: 10.1039/B105159H
2)D. Tauchi, T. Koida, Y. Nojima, M. Hasegawa, Y. Mazaki, A. Inagaki, K. Sugiura, Y. Nagaya, K. Tsubaki, T. Shiga, Y. Nagata, H. Nishikawa: Chemical Communications, 59, 4004–4007 (2023) DOI: 10.1039/D2CC06198H
< Acknowledgments >
This work was performed under the guidance of Prof. Naoto Ishikawa, Graduate School of Science, Osaka University and Prof. Hiroyuki Nishikawa, Faculty of Science, Ibaraki University.





